École nationale supérieure d’ingénieurs de Caen

Republique francaise logo
logo ensicaen

Les travaux du Centre de recherche sur les ions, les matériaux et la photonique (Cimap – UMR 6252 – ENSICAEN – Unicaen – CNRS – CEA) ont été récemment publiés dans la revue scientifique Nature Communications en collaboration avec les chercheurs de l’ « Insitut of Modern Physics » de Lanzhou (Chine).  Le rôle de l’environnement sur la fragmentation de molécules induite par irradiation est en effet primordial pour de nombreuses applications en chimie sous rayonnement ou radiobiologie.

 

De nombreuses études de la fragmentation de molécules isolées induite par absorption de rayonnement fournissent une vue détaillée du processus. Qu’en est-il lorsque cette molécule est environnée et constitue un élément d’un solide ou d’un liquide ? Depuis une dizaine d’années, les physiciens, dont ceux du Cimap, se sont tournés vers l’étude d’objets particuliers que sont les agrégats de van der Waals. Il s’agit d’atomes et/ou de molécules assemblés par leur seule polarisation, sans partage d’électrons.
Ce ne sont donc pas des molécules (au sens de la liaison covalente) mais un assemblage d’atomes et/ou de molécules faiblement liés qui et permettent de simuler les interactions entre atomes ou molécules d’un liquide.
Les chercheurs du Cimap s’intéressent à de petits systèmes tels les dimères pour étudier « un petit morceau de solide ou de liquide » à l’aide des techniques les plus fines. Avec la spectroscopie d’impulsion, ils sont en mesure de suivre la trajectoire et la vitesse de tous les fragments produits lors de la dissociation de ce système moléculaire. Il est alors possible d’obtenir des informations extrêmement détaillées concernant le rôle de ce microenvironnement sur le comportement de la molécule face à la perturbation due au rayonnement.

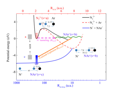
courbes-energie-cimap

Schéma de principe s’appuyant sur les courbes d’énergie potentielle du processus observé.

Dans un premier temps, les chercheurs ont observé que bien qu’assemblés, chaque constituant du dimère conserve un comportement semblable à un atome ou une molécule isolé(e). Les sections efficaces de capture électronique restent ainsi inchangées et le dimère se comporte comme si chacun des deux partenaires du dimère était seul à interagir avec le rayonnement [1, 2].
De même, la dissociation d’une molécule induite par l’impact d’un ion se déroule sans ressentir la présence de la seconde molécule de l’agrégat [3]. Il est cependant ressorti que la proximité d’un autre objet ouvre la possibilité à de nouveaux processus d’entrer en jeu, processus inexistants et impossibles dans le cas d’un atome ou d’une molécule seul. Le processus dit « Inter Coulombic Decay » a été observé dans des collisions de basse énergie et conduit à la production d’un nombre important d’électrons de basse énergie [4], électrons dont l’efficacité à briser des molécules par attachement est reconnu.

L’étude s’est poursuivie avec la collaboration des chercheurs de l’« Insitut of Modern Physics » de Lanzhou (Chine) avec pour objectif de déterminer si les techniques de physique pouvaient renseigner sur l’étape chimique consécutive à la dissociation moléculaire au sein d’un milieu liquide ou solide. Est-il possible de tracer, « filmer », la réaction entre les fragments moléculaires et les premières molécules voisines ?

Les deux équipes de chercheurs se sont ainsi intéressées au système associant, au sein d’un dimère de van der Waals, un atome d’argon (Ar) et une molécule d’azote (N2). La fragmentation de la molécule a été provoquée par la collision avec un ion Ne8+ d’une énergie de 1 MeV et les produits de la réaction identifiés et caractérisés par une spectroscopie de temps de vol en coïncidence associée à une technique d’imagerie.
Cette technique, couramment appelée spectroscopie d’impulsion (ou COLTRIMS en anglais), développée au Cimap depuis les années 90, a permis d’observer une espèce inattendue : l’ion moléculaire ArN+.
Sa présence signe l’existence surprenante de la réaction chimique, c’est-à-dire la création d’une liaison covalente, entre un fragment de la molécule d’azote et l’atome de gaz rare présent au sein du dimère initial. Ce transfert, bien connu dans le cas de la liaison hydrogène, est tout à fait surprenant dans le cas d’un ion aussi lourd que N+ et s’explique par un effet tunnel permettant à cet ion de franchir la barrière de potentiel séparant l’ion moléculaire N2+ et l’Ar et ce suffisamment rapidement pour que la liaison Ar-N+ s’établisse avant que le dimère ne se dissocie complètement sous l’effet de la répulsion coulombienne régnant entre ses constituants [5].

Contact CIMAP : Amine CASSIMI

Plus références :

[1] : Asymetry in Multiple-electron capture revealed by radiative Charge transfer in Ar dimers, J.Matsumoto, A.Leredde, X.Fléchard, K.Hayakawa, J.Rangama, C.L.Zhou, S.Guillous, D.Hennecart, T.Muranaka, A.Mery, B.Gervais, A.Cassimi, Phys Rev. Lett 105 (2010) 263202

[2] : Atomic Site-sensitive Processes in low energy ion-dimer collisions, W.Iskandar,  J.Matsumoto, A.Leredde, X.Fléchard, B.Gervais, S.Guillous, D.Hennecart, A.Mery, J.Rangama, C.L.Zhou, H.Shiromaru, A.Cassimi, Phys Rev. Lett 113 (2014) 143201

[3] : Role of a Neighbor ion in the fragmentation dynamics of covalentmolecules, A.Mery, A.N.Agnihotri, J.Douady, X.Fléchard, B.Gervais, S.Guillous, W.Iskandar,  E.Jacquet, J.Matsumoto, J.Rangama, F.Ropars, C.P.Safvan, H.Shiromaru, D.Zanuttini, A.Cassimi, Phys Rev. Lett 118 (2017) 233402

[4] : Interatomic Coulombic decay as a new source of low energy electrons in slow ion-dimer collisions, W.Iskandar,  J.Matsumoto, A.Leredde, X.Fléchard, B.Gervais, S.Guillous, D.Hennecart, A.Mery, J.Rangama, C.L.Zhou, H.Shiromaru, A.Cassimi, Phys Rev. Lett 114 (2015) 003201

[5] : Heavy N+ ion transfer in doubly charged N2Ar van der Waals cluster. X.L. Zhu, X.Q. Hu, S.C. Yan, Y.G.Peng, W.T. Feng, D.L.Guo, Y.Gao, S.F. Zhang, A. Cassimi, J.W. X, D.M. Zhao, D;P. Dong, B. Hai, Y. Wu, J.G. Wang, X. Ma, Nature Communications 11, 2987 (2020)

Collaboration :

  • XiaoLong ZHOU, ShunCheng Yan, WenTian Feng, DaLong Guo, Yong Gao, ShaoFeng Zhang, JiaWei Xu, DongMei Zhao, DaPu Dong, Bang Hai, X. Ma: Institute of Modern Physics, Chinese Academy of Sciences, 730000 Lanzhou, China.
  • XiaoLong ZHOU, ShunCheng Yan, DaLong Guo, ShaoFeng Zhang, JiaWei Xu, DaPu Dong, Bang Hai, X. Ma: University of Chinese Academy of Sciences, 100049 Beijing, China.
  • XiaoQing Hu, YiGeng Peng, Yong Wu, JianGuo Wang: Institute of Applied Physics and Computational Mathematics, 100088 Beijing, China.
  • Yong Wu: HEDPS, Center of Applied Physics and Technology, Peking University, 100871 Beijing, China.